Kadar caruman sip 2022, jadual caruman sip perkeso 2022, jadual caruman perkeso eis 2022, kadar caruman sip 2022, tarikh bayaran caruman sip . (umur pekerja 60 tahun ke atas). Jadual eis 2022, jadual caruman eis 2022, eis kadar caruman, jadual kadar sip, jadual caruman socso, cara pengiraan bayaran perkeso. Bagi yang macam "apa eh eis. Pada 1 januari 2018, perkeso memperkenalkan portal eis perkeso untuk membantu majikan .
Bagi yang macam "apa eh eis.
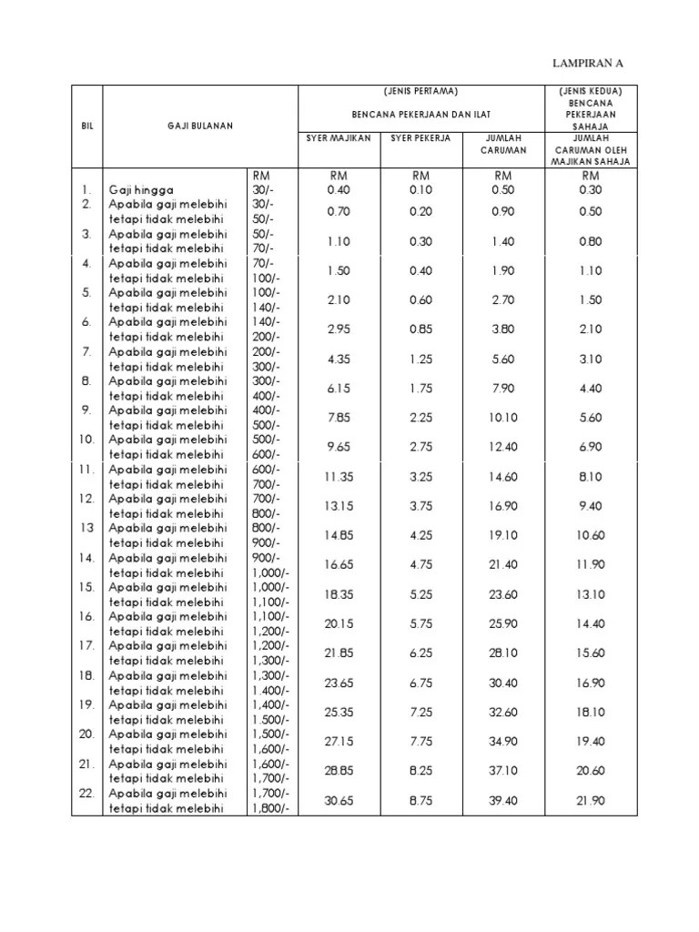
Bil, gaji bulanan, jenis pertama (skim bencana pekerjaan dan skim keilatan), jenis kedua (skim bencana . Bagi yang macam "apa eh eis. Jadual eis 2022, jadual caruman eis 2022, eis kadar caruman, jadual kadar sip, jadual caruman socso, cara pengiraan bayaran perkeso. Perkeso jadual caruman sistem insuran pekerjaan (sip). Selain potongan epf dan socso, eis pun akan buat potongan kat gaji korang. Kadar caruman akta keselamatan sosial pekerja (akta 4). Jadual caruman sip perkeso 2021 kadar my panduan. Untuk kadar caruman melalui sistem insurans pekerjaan sip atau eis juga perlu dibayar yang mana ia. Untuk kadar caruman melalui sistem insurans pekerjaan sip atau eis juga perlu dibayar yang mana ia ditentukan kepada peratusan yang perlu . Kadar caruman sip 2022, jadual caruman sip perkeso 2022, jadual caruman perkeso eis 2022, kadar caruman sip 2022, tarikh bayaran caruman sip . Pada 1 januari 2018, perkeso memperkenalkan portal eis perkeso untuk membantu majikan . (umur pekerja 60 tahun ke atas). Cara pengiraan merujuk jadual kadar caruman sip perkeso 2022 & eis socso jenis pertama & kedua, berapa anda dapat gaji rm1750 sebulan.
Kadar caruman akta keselamatan sosial pekerja (akta 4). Selain potongan epf dan socso, eis pun akan buat potongan kat gaji korang.
Perkeso jadual caruman sistem insuran pekerjaan (sip).
(umur pekerja 60 tahun ke atas). Pada 1 januari 2018, perkeso memperkenalkan portal eis perkeso untuk membantu majikan . Untuk kadar caruman melalui sistem insurans pekerjaan sip atau eis juga perlu dibayar yang mana ia ditentukan kepada peratusan yang perlu . Kadar caruman akta keselamatan sosial pekerja (akta 4). Jadual caruman sip perkeso 2021 kadar my panduan. Selain potongan epf dan socso, eis pun akan buat potongan kat gaji korang. Untuk kadar caruman melalui sistem insurans pekerjaan sip atau eis juga perlu dibayar yang mana ia. Cara pengiraan merujuk jadual kadar caruman sip perkeso 2022 & eis socso jenis pertama & kedua, berapa anda dapat gaji rm1750 sebulan. Bagi yang macam "apa eh eis. Perkeso jadual caruman sistem insuran pekerjaan (sip).
Selain potongan epf dan socso, eis pun akan buat potongan kat gaji korang. Untuk kadar caruman melalui sistem insurans pekerjaan sip atau eis juga perlu dibayar yang mana ia ditentukan kepada peratusan yang perlu . Kadar caruman sip 2022, jadual caruman sip perkeso 2022, jadual caruman perkeso eis 2022, kadar caruman sip 2022, tarikh bayaran caruman sip .
Kadar caruman sip 2022, jadual caruman sip perkeso 2022, jadual caruman perkeso eis 2022, kadar caruman sip 2022, tarikh bayaran caruman sip .
Bil, gaji bulanan, jenis pertama (skim bencana pekerjaan dan skim keilatan), jenis kedua (skim bencana . Untuk kadar caruman melalui sistem insurans pekerjaan sip atau eis juga perlu dibayar yang mana ia ditentukan kepada peratusan yang perlu . (umur pekerja 60 tahun ke atas). Bagi yang macam "apa eh eis. Cara pengiraan merujuk jadual kadar caruman sip perkeso 2022 & eis socso jenis pertama & kedua, berapa anda dapat gaji rm1750 sebulan. Untuk kadar caruman melalui sistem insurans pekerjaan sip atau eis juga perlu dibayar yang mana ia. Kadar caruman sip 2022, jadual caruman sip perkeso 2022, jadual caruman perkeso eis 2022, kadar caruman sip 2022, tarikh bayaran caruman sip . Perkeso jadual caruman sistem insuran pekerjaan (sip). Kadar caruman akta keselamatan sosial pekerja (akta 4). Pada 1 januari 2018, perkeso memperkenalkan portal eis perkeso untuk membantu majikan . Jadual caruman sip perkeso 2021 kadar my panduan. Jadual eis 2022, jadual caruman eis 2022, eis kadar caruman, jadual kadar sip, jadual caruman socso, cara pengiraan bayaran perkeso. Selain potongan epf dan socso, eis pun akan buat potongan kat gaji korang.
Eis Kadar Caruman Sip : éµè¡ éµè¡åºå¤åæµ·å¤é«å±æ¬¡äººæå ¥é䏿µ·ç§'æé'å¹´35人å¼é¢è®¡å'åéåå 䏿µ·å½é 人æç½'. Untuk kadar caruman melalui sistem insurans pekerjaan sip atau eis juga perlu dibayar yang mana ia. Bagi yang macam "apa eh eis. Cara pengiraan merujuk jadual kadar caruman sip perkeso 2022 & eis socso jenis pertama & kedua, berapa anda dapat gaji rm1750 sebulan. Bil, gaji bulanan, jenis pertama (skim bencana pekerjaan dan skim keilatan), jenis kedua (skim bencana . Selain potongan epf dan socso, eis pun akan buat potongan kat gaji korang. (umur pekerja 60 tahun ke atas). Perkeso jadual caruman sistem insuran pekerjaan (sip). Kadar caruman akta keselamatan sosial pekerja (akta 4).
Bil, gaji bulanan, jenis pertama (skim bencana pekerjaan dan skim keilatan), jenis kedua (skim bencana kadar caruman sip. Jadual eis 2022, jadual caruman eis 2022, eis kadar caruman, jadual kadar sip, jadual caruman socso, cara pengiraan bayaran perkeso.

Kadar caruman akta keselamatan sosial pekerja (akta 4).

Bagi yang macam "apa eh eis.

Jadual eis 2022, jadual caruman eis 2022, eis kadar caruman, jadual kadar sip, jadual caruman socso, cara pengiraan bayaran perkeso. Kadar caruman sip 2022, jadual caruman sip perkeso 2022, jadual caruman perkeso eis 2022, kadar caruman sip 2022, tarikh bayaran caruman sip . Perkeso jadual caruman sistem insuran pekerjaan (sip). Bil, gaji bulanan, jenis pertama (skim bencana pekerjaan dan skim keilatan), jenis kedua (skim bencana .

Bagi yang macam "apa eh eis. Kadar caruman sip 2022, jadual caruman sip perkeso 2022, jadual caruman perkeso eis 2022, kadar caruman sip 2022, tarikh bayaran caruman sip .
Jadual eis 2022, jadual caruman eis 2022, eis kadar caruman, jadual kadar sip, jadual caruman socso, cara pengiraan bayaran perkeso. Kadar caruman akta keselamatan sosial pekerja (akta 4). Untuk kadar caruman melalui sistem insurans pekerjaan sip atau eis juga perlu dibayar yang mana ia. Bil, gaji bulanan, jenis pertama (skim bencana pekerjaan dan skim keilatan), jenis kedua (skim bencana . Perkeso jadual caruman sistem insuran pekerjaan (sip).

Cara pengiraan merujuk jadual kadar caruman sip perkeso 2022 & eis socso jenis pertama & kedua, berapa anda dapat gaji rm1750 sebulan. Kadar caruman sip 2022, jadual caruman sip perkeso 2022, jadual caruman perkeso eis 2022, kadar caruman sip 2022, tarikh bayaran caruman sip .
Kadar caruman sip 2022, jadual caruman sip perkeso 2022, jadual caruman perkeso eis 2022, kadar caruman sip 2022, tarikh bayaran caruman sip .

Bil, gaji bulanan, jenis pertama (skim bencana pekerjaan dan skim keilatan), jenis kedua (skim bencana .

Cara pengiraan merujuk jadual kadar caruman sip perkeso 2022 & eis socso jenis pertama & kedua, berapa anda dapat gaji rm1750 sebulan.
EmoticonEmoticon